新闻网讯 能源是当今世界面临的最为紧迫的问题之一,降低工业能耗、提高能源利用率是全球关注的热点。我国的工业能耗占全社会总能耗的70%以上,单位产值能耗是世界平均水平的2倍,降低工业能耗对于实施国家“双碳战略”,确保国民经济可持续发展意义重大。为了提高能源利用设备的能效,不仅要减少设备的热耗,还要降低系统的功耗,以实现节能降耗的目标。为此,本项目旨在构建宏观能质传输统一方程组以及相应的理论体系,揭示能质传输的多场协同机制和能质耗散机制,发展耗散最小化多场协同能质传递强化理论和方法,为设计和研发高能效、低功耗工业能质传输设备提供理论依据。
为了描述能质传输中多物理场的协同机制,公司中方导师、能源公司副教授隆瑞所在团队在已有协同方程(1)的基础上,建构了如下关于热量、质量、功量和动能传输的协同方程组。式中,Nu、Sh、Eu、Euk、Re、Pr和Sc分别为努谢尔特数、舍伍德数、欧拉数、功耗欧拉数、雷诺数、普朗特数和施密特数,Li为本研究提出的无量纲数。

对于流场中任意流体质点P,热力学力▽T、▽C、▽p和▽u的相互作用表征了能质传输中场物理量的协同关系,如图1所示。根据能质协同方程(1)~(4),将速度矢量U与温度T、浓度C、压力p、速度u的梯度之间的协同关系统一表达如下。式中,β角越小则流体传热的性能越好,γ角越小则流体传质的性能越好,θ角越小则流体消耗的机械功越少,α角越小则能质强化元件对流体产生的扰动越充分。协同关系式(5~8)表征了场物理量的协同机制,为能质传输设备提供了设计准则(其中(5)为已有关系式)。


图1、热力学力▽T、▽C、▽p和▽u的相互作用与协同关系
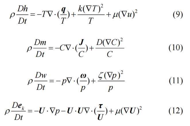
为了描述能质传输过程的能质耗散机制,本团队提出了如下关于热量、质量、功量和动能传输的平衡方程组。式中,q、J、ω和τ分别代表热流、质流、功流和动量流;h、m、w和ek分别代表流体的热势、质势、功势和动能势;k(▽T)2/T、D(▽C)2/C、ζ(▽p)2/p和μ(▽U)2分别代表热量、质量、功量和动能传输的不可逆耗散损失。

根据能质平衡方程(9~12),获得如下热量、质量、功量和动能的传输效率。式中,Ql为流体的热耗散,Q为进入系统的热流,Ml为流体的质耗散,M为进入系统的质流,Pd为流体扩散功流所耗散的机械能,Pm为流体扩散动能时克服流体黏性所耗散的机械能,P为进入系统的功流或外界为流体提供的泵功。能质传输效率的表达式(13~16)为能质传输设备提供了性能评价准则。

为了揭示能质不可逆耗散的本质属性,本项目提出了关于能质传输的最小耗散原理和作用量等价原理,建立了热量、质量、功量传输不可逆性的熵产生、能质耗散、积耗散的数学表征(见表1),解决了不可逆耗散统一表征的学术难题,揭示了能质传输设备运行的稳定性机制,发展了非平衡态热力学的耗散理论和稳定性理论。
表1、热、质、功传输不可逆耗散的统一数学表征
耗散量 |
热耗 |
质耗 |
功耗 |
熵产生 |

|

|

|
能质耗散 |

|

|

|
积耗散 |

|

|

|
综上,本项目建构了宏观能质输运的统一方程组(1~4)和(9~12),并基于能质输运的协同和耗散特性,提出了描述宏观能质输运现象的理论体系。项目的主要创新点为:1、发现并揭示了能质传输中的多场协同机制,提出了能质传输的协同方程组,获得温度、浓度、速度和压力的协同关系,为能质传输设备提供了设计准则。2、发现并揭示了能质传输中的能质耗散机制,提出了能质传输的平衡方程组,获得热量、质量、功量和动能的传递效率,为能质传输设备提供了评价准则。3、提出了能质传输的多场协同原理和能质耗散原理,建构了基于协同和耗散的宏观能质传输统一方程组,为描述工程中的能质输运现象提供了理论基础。4、基于所建能质传输协同和耗散理论,创建了“混流均温减阻”能质传递强化方法,指导能质传输设备的研发,使得工程能质传输设备的能效提高了20%以上。
2022年以来,项目成果发表重要SCI期刊论文19篇,获发明专利4件,中国科学杂志社还专门为本研究在《中国科学 技术科学》上发表该理论体系的2篇文章配发了微信公众号新闻稿。该理论的部分成果曾获2020年度国家自然科学二等奖,2019年度湖北省自然科学一等奖,发表SCI期刊论文132篇,WOS核心合集他引4100余次,成果形成了国家标准1部,获授权发明专利14项。项目研发的高能效、低功耗、纵流式能量传输设备应用于国内近200家企业,包括拥有最先进的超超临界发电机组的电力企业,其中1000MW大型火电和核电机组闭式冷却设备102台,是中核集团出口巴基斯坦“华龙1号”核电机组配套的具有自主知识产权的大型能量传输设备,也是我国1000米以下煤层实现规模化开采的唯一大型散热设备,产生了重大的经济和社会效益。